W tym zadaniu musisz obliczyć, ile wynosi długość krótszej przekątnej graniastosłupa prawidłowego sześciokątnego o krawędzi podstawy długości 6 i krawędzi bocznej długości 8.
Odpowiedź: C.
Krótsza przekątna graniastosłupa sześciokątnego prawidłowego jest przeciwprostokątną trójkąta, w którym przyprostokątnymi są krawędź boczna tego graniastosłupa oraz krótsza przekątna podstawy. Wykonaj rysunek podstawy, na którym zaznacz przekątne sześciokąta.
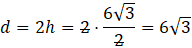
Zauważ, że rysując wszystkie dłuższe przekątne sześciokąta otrzymasz sześć takich samych trójkątów równobocznych o boku długości boku tego sześciokąta, które mają wspólny punkt w środku tego sześciokąta. Zauważ, że krótsze przekątne stanowią wysokości tych trójkątów. Długość krótszej przekątnej (oznaczonej jako d) to dwie długości wysokości takiego trójkąta. Wysokość takiego trójkąta możesz obliczyć ze wzoru na wysokość trójkąta równoramiennego.
Długość szukanej przekątnej graniastosłupa obliczysz z twierdzenia Pitagorasa:
Oczywiście długość tej przekątnej nie może być ujemna, więc po spierwiastkowaniu obu stron nie rozważaj ujemnego przypadku.
Zadanie 16.
89Zadanie 17.
90Zadanie 18.
90Zadanie 25.
98Zadanie 27.
98Zadanie 16.
103Zadanie 17.
103Zadanie 19.
103Zadanie 14.
111Zadanie 13.
114Zadanie 14.
114Zadanie 21.
131Zadanie 23.
137Zadanie 28.
138Zadanie 20.
142Zadanie 23.
148