W tym zadaniu rozważasz okrąg o promieniu a, w który wpisany jest trójkąt równoboczny, w który wpisany jest okrąg i dalej naprzemiennie są wpisywane w siebie trójkąty i okręgi. Musisz wyznaczyć długość promienia okręgu, który jest dziesiąty.
h – wysokość trójkąta
Długość promienia okręgu opisanego na trójkącie równobocznym
Długość promienia okręgu wpisanego w trójkąt równoboczny
Niech a to promień okręgu opisanego na pierwszym trójkącie, więc promień drugiego okręgu będzie wynosił
Analogicznie długość promienia trzeciego okręgu to połowa długości drugiego okręgu czyli
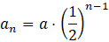
Promienie kolejnych okręgów będą połową promienia okręgu poprzedniego. Długości tych promieni tworzą więc ciąg geometryczny o ilorazie wynoszącym
Odpowiedź: D.
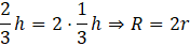
Długość promienia okręgu opisanego na trójkącie równobocznym (a takim jest pierwszy okrąg) to
Postępując podobnie dla drugiego i trzeciego okręgu (między którym zachodzi taka sama zależność, jak między pierwszym a drugim okręgiem) otrzymasz, że długość promienia trzeciego okręgu to
Promienie kolejnych okręgów będą połową promienia okręgu poprzedniego. Długości tych promieni tworzą więc ciąg geometryczny o ilorazie wynoszącym
Podstawiając za a1 = a,
Zadanie 16.
89Zadanie 17.
90Zadanie 18.
90Zadanie 25.
98Zadanie 27.
98Zadanie 16.
103Zadanie 17.
103Zadanie 19.
103Zadanie 14.
111Zadanie 13.
114Zadanie 14.
114Zadanie 21.
131Zadanie 23.
137Zadanie 28.
138Zadanie 20.
142Zadanie 23.
148