W tym zadaniu musisz obliczyć, ile wynosi
Odpowiedź: A.
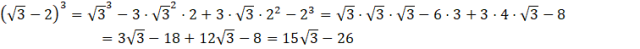
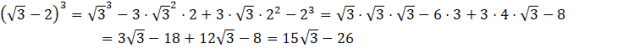
W tym zadaniu musisz skorzystać ze wzoru skróconego mnożenia na sześcian różnicy.
Aby obliczyć pierwiastek kwadratowy do sześcianu rozpisz potęgę jako trzykrotne mnożenie. Dwa składniki tego iloczynu dadzą 3 i pozostanie jeszcze
Zadanie 16.
89Zadanie 17.
90Zadanie 18.
90Zadanie 25.
98Zadanie 27.
98Zadanie 16.
103Zadanie 17.
103Zadanie 19.
103Zadanie 14.
111Zadanie 13.
114Zadanie 14.
114Zadanie 21.
131Zadanie 23.
137Zadanie 28.
138Zadanie 20.
142Zadanie 23.
148