W tym zadaniu musisz wyznaczyć wysokość całkowitą lejka z dokładnością do 1 mm, przedstawionego na załączonej ilustracji.
h1, x oraz bok o długości 8 cm tworzą trójkąt prostokątny.
Szerokość „trąbki” lejka u jej początku: 1 + 2x cm ≈ 1 + 2 ∙ 0,6976 ≈ 2,3952 cm.
y oraz h2 – przyprostokątne trójkąta prostokątnego.
Na początku narysuj rysunek lejka oraz zaznacz na nim wszystkie potrzebne odcinki.
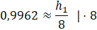
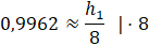
W pierwszej kolejności oblicz wysokość węższej części lejka oznaczoną jako h1. Jest ona przyprostokątną trójkąta prostokątnego tworzonego przez zewnętrzną ściankę węższej części lejka o długości 8 cm. Kąt w tym trójkącie wynosi 85°. Długość tę możesz obliczyć z własności funkcji trygonometrycznych. Szukany bok jest naprzeciwko kąta, więc skorzystaj z sinusa. Korzystając z definicji sinusa możesz zapisać:
Wartość sinusa odczytaj z tablic wartości trygonometrycznych.
Podobnie jak wysokość możesz obliczyć długość odcinka oznaczonego jako x. Jednakże odcinek ten jest przy kącie, więc musisz skorzystaj z cosinusa.
Odczytaj wartość cosinusa z tablic.
Szerokość „trąbki” lejka u jej początku to 1 + 2x cm, czyli 1 + 2 ∙ 0,6976 ≈ 2,3952 cm.
Aby obliczyć długość oznaczoną jako y, od najszerszej szerokości lejka, czyli 20 cm musisz odjąć wcześniej obliczoną szerokość „trąbki” u jej początku. Otrzymasz wtedy podwójną długość y, więc otrzymany wynik musisz podzielić przez 2.
Długość y oraz szukana wysokość szerszej części lejka oznaczona jako h2 są przyprostokątnymi trójkąta prostokątnego o kącie 40°. Więc h2 możesz obliczyć z definicji funkcji trygonometrycznej, a dokładniej z definicji tangensa. Szukana wysokość leży naprzeciw tego kąta, więc możesz zapisać następującą równość:
Wartość tangensa odczytaj z tablic trygonometrycznych.
Wysokość całego lejka to suma tych dwóch obliczonych wysokości. Wynik masz zaokrąglić do 1mm, czyli jeżeli podajesz wysokości w centymetrach to do jednego miejsca po przecinku.
Zadanie 16.
89Zadanie 17.
90Zadanie 18.
90Zadanie 25.
98Zadanie 27.
98Zadanie 16.
103Zadanie 17.
103Zadanie 19.
103Zadanie 14.
111Zadanie 13.
114Zadanie 14.
114Zadanie 21.
131Zadanie 23.
137Zadanie 28.
138Zadanie 20.
142Zadanie 23.
148