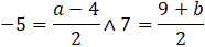
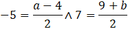
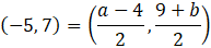
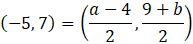
W tym zadaniu musisz określić jaki będzie wynik dodania do siebie liczb a oraz b, jeśli wiesz, że odcinek łączący punkty zadane współrzędnymi (a, 9) oraz (-4, b) ma środek w punkcie S o współrzędnych (-5, 7).
Odpowiedź: B. -1
Skorzystaj tutaj ze wzoru na środek odcinka łączącego dwa punkty i przyrównaj do niego znane współrzędne punktu środkowego.
Przyrównaj do siebie każdą ze współrzędnych z osobna:
Teraz możesz obliczyć sumę tych dwóch liczb:
Zadanie 16.
89Zadanie 17.
90Zadanie 18.
90Zadanie 25.
98Zadanie 27.
98Zadanie 16.
103Zadanie 17.
103Zadanie 19.
103Zadanie 14.
111Zadanie 13.
114Zadanie 14.
114Zadanie 21.
131Zadanie 23.
137Zadanie 28.
138Zadanie 20.
142Zadanie 23.
148