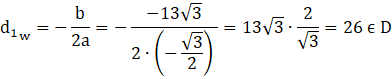
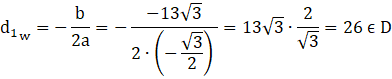
Suma przekątnych jest równa 52:
Skorzystaj ze wzoru:
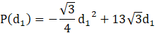
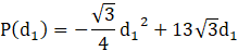
Ramiona tej funkcji są skierowane w dół, dlatego największe pole będzie w wierzchołku funkcji.
Aby otrzymać największe pole, należy współrzędną x podstawić pod równanie.