Założenie:
Przekątne są równe 10 cm i 14 cm. Pole wynosi 35
Teza:
Dowód:
Zwizualizuj nasze dane za pomocą rysunku.
Dwa trójkąty są przystające:
Czyli
Dwa trójkąty są przystające:
Czyli
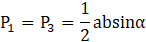
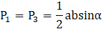
Czyli wszystkie pola są równe:
Policz miarę kąta ostrego między przekątnymi:
Wypisz dane.
Czyli pole jednego trójkąta wynosi:
Skorzystaj ze wzoru: