W tym zadaniu musisz obliczyć, o ile procent jedno pole jednej figury jest mniejsze od drugiej.
Obwód
Obwód
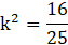
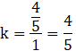
Policz skalę:
Skala podobieństwa pól figur podobnych to
Zadanie 5.2.
79Zadanie 5.8.
79Zadanie 5.11.
80Zadanie 5.12.
80Zadanie 5.14.
80Zadanie 5.18.
81Zadanie 5.23.
81Zadanie 5.24.
81Zadanie 5.25.
81Zadanie 5.26
82Zadanie 5.27.
82Zadanie 5.30.
82Zadanie 5.34.
82Zadanie 5.35.
82Zadanie 5.39.
83Zadanie 5.40.
83Zadanie 5.42.
83Zadanie 5.43.
83Zadanie 5.44.
84Zadanie 5.45.
84Zadanie 5.46.
84Zadanie 5.48.
84Zadanie 5.49.
84Zadanie 5.51.
85Zadanie 5.53.
85Zadanie 5.58.
86Zadanie 5.59.
86Zadanie 5.60.
86Zadanie 5.61.
86Zadanie 5.62.
86Zadanie 5.66.
87Zadanie 5.67.
87Zadanie 12.
89Zadanie 14.
89Zadanie 16.
90