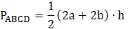
W tym zadaniu musisz obliczyć pole trapezu.
Podstaw dane pod wzór na pole:
W trójkącie AFC skorzystaj z twierdzenia Pitagorasa.
Zadanie 5.2.
79Zadanie 5.8.
79Zadanie 5.11.
80Zadanie 5.12.
80Zadanie 5.14.
80Zadanie 5.18.
81Zadanie 5.23.
81Zadanie 5.24.
81Zadanie 5.25.
81Zadanie 5.26
82Zadanie 5.27.
82Zadanie 5.30.
82Zadanie 5.34.
82Zadanie 5.35.
82Zadanie 5.39.
83Zadanie 5.40.
83Zadanie 5.42.
83Zadanie 5.43.
83Zadanie 5.44.
84Zadanie 5.45.
84Zadanie 5.46.
84Zadanie 5.48.
84Zadanie 5.49.
84Zadanie 5.51.
85Zadanie 5.53.
85Zadanie 5.58.
86Zadanie 5.59.
86Zadanie 5.60.
86Zadanie 5.61.
86Zadanie 5.62.
86Zadanie 5.66.
87Zadanie 5.67.
87Zadanie 12.
89Zadanie 14.
89Zadanie 16.
90