W tym zadaniu musisz obliczyć pole prostokąta.
Zwizualizuj nasze dane za pomocą rysunku.
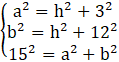
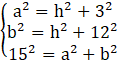
Z twierdzenia Pitagorasa:
Oblicz pole.
Zadanie 5.1.
Zadanie 5.2.
Podpunkt a)
Podpunkt b)
Zadanie 5.3.
Zadanie 5.4.
Zadanie 5.5.
Zadanie 5.6.
Zadanie 5.7
Zadanie 5.8.
Zadanie 5.9.
Zadanie 5.10.
Zadanie 5.11.
Podpunkt c)
Zadanie 5.12.
Zadanie 5.13.
Zadanie 5.14.
Zadanie 5.15.
Zadanie 5.16.
Zadanie 5.17.
Zadanie 5.18.
Zadanie 5.19.
Zadanie 5.20.
Zadanie 5.21.
Zadanie 5.22.
Zadanie 5.23.
Podpunkt d)
Zadanie 5.24.
Zadanie 5.25.
Zadanie 5.26
Zadanie 5.27.
Zadanie 5.28.
Zadanie 5.29.
Zadanie 5.30.
Zadanie 5.31.
Zadanie 5.32.
Zadanie 5.33.
Zadanie 5.34.
Zadanie 5.35.
Zadanie 5.36.
Zadanie 5.37.
Zadanie 5.38.
Zadanie 5.39.
Zadanie 5.40.
Zadanie 5.41.
Zadanie 5.42.
Zadanie 5.43.
Zadanie 5.44.
Zadanie 5.45.
Zadanie 5.46.
Zadanie 5.47.
Zadanie 5.48.
Zadanie 5.49.
Zadanie 5.50.
Zadanie 5.51.
Zadanie 5.52.
Zadanie 5.53.
Zadanie 5.54.
Zadanie 5.55.
Zadanie 5.56.
Zadanie 5.57.
Zadanie 5.58.
Zadanie 5.59.
Zadanie 5.60.
Zadanie 5.61.
Zadanie 5.62.
Zadanie 5.63.
Zadanie 5.64.
Zadanie 5.65.
Zadanie 5.66.
Zadanie 5.67.
Zadanie 5.68.
Zadanie 5.69.
Zadanie 5.70.
Zadanie 5.71.
Zadanie 1.
Zadanie 2.
Zadanie 3.
Zadanie 4.
Zadanie 5.
Zadanie 6.
Zadanie 7.
Zadanie 8.
Zadanie 9.
Zadanie 11.
Zadanie 12.
Zadanie 13.
Zadanie 14.
Zadanie 15.
Zadanie 16.
Zadanie 17.
Zadanie 18.
Zadanie 19.
Zadanie 20.
Zadanie 21.
Zadanie 22.
Zadanie 23.
Zadanie 24.
Zadanie 25.