W tym zadaniu musisz policzyć pole czworokąta na podstawie jego przekątnych i kąta między nimi.
Wypisz dane:
Narysuj rysunek i zaznacz na nim ważne wartości.
Oblicz pola poszczególnych części czworokąta, korzystając z wzoru:
Zastosujesz też wzór redukcyjny:
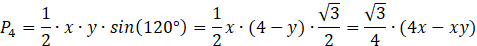
Teraz oblicz pole całego czworokąta
Zadanie 5.1.
Zadanie 5.2.
Podpunkt a)
Podpunkt b)
Zadanie 5.3.
Zadanie 5.4.
Zadanie 5.5.
Zadanie 5.6.
Zadanie 5.7
Zadanie 5.8.
Zadanie 5.9.
Zadanie 5.10.
Zadanie 5.11.
Podpunkt c)
Zadanie 5.12.
Zadanie 5.13.
Zadanie 5.14.
Zadanie 5.15.
Zadanie 5.16.
Zadanie 5.17.
Zadanie 5.18.
Zadanie 5.19.
Zadanie 5.20.
Zadanie 5.21.
Zadanie 5.22.
Zadanie 5.23.
Podpunkt d)
Zadanie 5.24.
Zadanie 5.25.
Zadanie 5.26
Zadanie 5.27.
Zadanie 5.28.
Zadanie 5.29.
Zadanie 5.30.
Zadanie 5.31.
Zadanie 5.32.
Zadanie 5.33.
Zadanie 5.34.
Zadanie 5.35.
Zadanie 5.36.
Zadanie 5.37.
Zadanie 5.38.
Zadanie 5.39.
Zadanie 5.40.
Zadanie 5.41.
Zadanie 5.42.
Zadanie 5.43.
Zadanie 5.44.
Zadanie 5.45.
Zadanie 5.46.
Zadanie 5.47.
Zadanie 5.48.
Zadanie 5.49.
Zadanie 5.50.
Zadanie 5.51.
Zadanie 5.52.
Zadanie 5.53.
Zadanie 5.54.
Zadanie 5.55.
Zadanie 5.56.
Zadanie 5.57.
Zadanie 5.58.
Zadanie 5.59.
Zadanie 5.60.
Zadanie 5.61.
Zadanie 5.62.
Zadanie 5.63.
Zadanie 5.64.
Zadanie 5.65.
Zadanie 5.66.
Zadanie 5.67.
Zadanie 5.68.
Zadanie 5.69.
Zadanie 5.70.
Zadanie 5.71.
Zadanie 1.
Zadanie 2.
Zadanie 3.
Zadanie 4.
Zadanie 5.
Zadanie 6.
Zadanie 7.
Zadanie 8.
Zadanie 9.
Zadanie 11.
Zadanie 12.
Zadanie 13.
Zadanie 14.
Zadanie 15.
Zadanie 16.
Zadanie 17.
Zadanie 18.
Zadanie 19.
Zadanie 20.
Zadanie 21.
Zadanie 22.
Zadanie 23.
Zadanie 24.
Zadanie 25.