Policz
Zwizualizuj nasze dane za pomocą rysunku.
Dwa trójkąty mają te same pola (mają taką samą podstawę i wysokość):
Policz
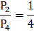
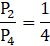
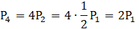
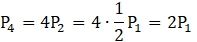
Masz dwa podobne trójkąty:
Policz skalę:
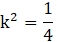
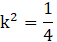
Skala podobieństwa pól to skala podniesiona do kwadratu:
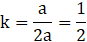
Wyznacz