trójkąty ADE i AFH
trójkąty ADE i AFH
Wyjaśnienie:
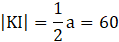
Zwizualizuj dane za pomocą rysunku.
Zauważ trójkąty podobne ADE i AFH.
Zauważ trójkąty podobne ADE i AFH.
Oblicz pola tych trójkątów.