Zwizualizuj nasze dane za pomocą rysunku.
Trójkąt FBC jest kątem charakterystycznym
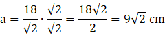
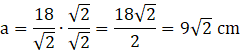
Oblicz długość odcinka DC. Skorzystaj ze wzoru na wysokość:
Policz pole trapezu: