Ilość planet Układu Słonecznego (poza Ziemią):
Zdanie 1:
Odpowiedź: Prawdopodobieństwo, że oba państwa wybrały Neptun, jest równe B.
Zdanie 2:
Odpowiedź: Prawdopodobieństwo, że oba państwa wybrały ten sam cel misji, jest równe C.
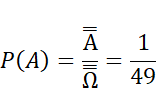
Zauważ, że przy wyborze planety, każda sonda ma 7 różnych opcji. Zgodnie z regułą mnożenia ilość wszystkich przypadków (
Zdarzeniu A sprzyja 1 możliwość – wybór Neptuna przez sondę amerykańską (1 opcja) i taki sam przez rosyjską.
Zdarzeniu B sprzyja 7 możliwości – wybór przez amerykańską sondę jednej planety (7 opcji) i przez rosyjską dokładnie takiej samej (czyli 1 opcja).
Prawdopodobieństwo każdego zdarzenia oblicz, dzieląc ilość zdarzeń mu sprzyjających przez ilość wszystkich możliwości.