Łącznie jest 10 rękawiczek. W takim razie przy pierwszym losowaniu masz 10 możliwości wyboru, a przy drugim już 9 opcji – zgodnie z regułą mnożenia iloczyn tych opcji jest liczbą wszystkich przypadków.
Zdarzeniu A sprzyja 10 możliwości – masz dwie opcje wyboru rękawiczki pierwszej: prawą lub lewą oraz 5 opcji par (tyle ich jest). Druga rękawiczka musi być do pary, więc jest tylko jedna możliwość. Zgodnie z regułą mnożenia iloczyn tych opcji jest liczbą wszystkich przypadków.
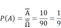
Prawdopodobieństwo tego zdarzenia oblicz, dzieląc ilość zdarzeń mu sprzyjających przez ilość wszystkich możliwości.