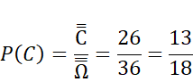
Suma oczek większa 5: {(1, 5), (1, 6), (2, 4), (2, 5), (2, 6), (3, 3), (3, 4), (3, 5), (3, 6), (4, 2), (4, 3), (4, 4), (4, 5), (4, 6), (5, 1), (5, 2), (5, 3), (5, 4), (5, 5), (5, 6), (6, 1), (6, 2), (6, 3), (6, 4), (6, 5), (6, 6)}
Zauważ, że rzucając każdą kostką, masz 6 możliwości wyrzucenia oczek na każdej z nich. Zgodnie z regułą mnożenia liczba wszystkich przypadków (