Skul.pl
  • Opracowania zadań z podręczników
  • Matematyka. Klasa 8. Zeszyt ćwiczeń - rozwiązania i odpowiedzi
  • Podpunkt b)

Matematyka. Klasa 8. Zeszyt ćwiczeń - rozwiązania i odpowiedzi

Zeszyt ćwiczeń, Wydawnictwo: WSiP
Poprzednie

Zadanie 5., b) - strona 82

Następne

Zadanie

Wyznacz ilość możliwości pociągnięcia dwóch kart kolejno bez zwracania spośród ośmiu różnych (rysunek) w taki sposób, aby as nie został wybrany.

Rozwiązanie

Skul

Wyjaśnienie

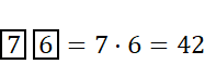
Na wybranie pierwszej karty masz 7 możliwości (as nie może być), natomiast na wybranie drugiej już 6 (jedna została wyciągnięta i as nie może być). Zgodnie z regułą mnożenia wymnóż przez siebie te opcje.

Poprzednie
Następne

Matematyka - wybrane pytania

Zadanie 11.9., strona 336, Prosto do matury 4. Zakres podstawowy i rozszerzony. Podręcznik - rozwiązania i odpowiedzi
Zadanie 16, strona 228, Matematyka z plusem. Klasa 7. Zbiór zadań – rozwiązania i odpowiedzi
Zadanie 5., strona 50, Matematyka. Klasa 8. Zbiór zadań - rozwiązania i odpowiedzi
Zadanie 5., strona 132, Matematyka z kluczem. Klasa 6. Zeszyt ćwiczeń – rozwiązania i odpowiedzi
Zadanie D, strona 10, Matematyka z plusem. Klasa 8. Podręcznik – rozwiązania i odpowiedzi
Zadanie 2., strona 59, Matematyka. Klasa 6. Zeszyt ćwiczeń. Część 2 - rozwiązania i odpowiedzi
Zadanie 12, strona 82, MATeMAtyka. Klasa 3. Zbiór zadań. Zakres podstawowy i rozszerzony – rozwiązania i odpowiedzi
Zadanie 12, strona 61, Matematyka z kluczem. Klasa 7. Podręcznik – rozwiązania i odpowiedzi
Zadanie 5.16., strona 57, Prosto do matury. Klasa 4. Podręcznik. Zakres podstawowy - rozwiązania i odpowiedzi
Zadanie *21, strona 80, Matematyka z plusem. Klasa 6. Zbiór zadań – rozwiązania i odpowiedzi
REKLAMA
Skul
Zadania z tego działu
10. Kombinatoryka i rachunek prawdopodobieństwa
81
10.1. Kombinatoryka
81

Zadanie 1.

81

Zadanie 2.

81

Zadanie 3.

81

Zadanie 4.

81

Zadanie 5.

82

Podpunkt a)

82

Podpunkt b)

82

Podpunkt c)

82

Zadanie 6.

82

Podpunkt a)

82

Podpunkt b)

82

Podpunkt c)

82

Zadanie 7.

82

Podpunkt a)

82

Podpunkt b)

82

Zadanie 8.

83

Podpunkt a)

83

Podpunkt b)

83

Podpunkt c)

83

Podpunkt d)

83

Zadanie 9.

83

Podpunkt a)

83

Podpunkt b)

83
10.2. Rachunek prawdopodobieństwa
84

Zadanie 1.

84

Zadanie 2.

84

Zadanie 3.

84

Zadanie 4.

85

Zadanie 5.

85

Zadanie 6.

85

Zadanie 7.

86

Zadanie 8.

86

Podpunkt a)

86

Podpunkt b)

86

Podpunkt c)

86

Podpunkt d)

86

Zadanie 9.

87

Podpunkt a)

87

Podpunkt b)

87

Zadanie 10.

87

Podpunkt a)

87

Podpunkt b)

87

Zadanie 11.

87
Pełny spis treści
Skul
Artboard 1
Skul.pl
  • Napisz do nas
  • FAQ
  • Mapa Serwisu
  • Google Play
  • App Store

Korzystanie z portalu oznacza akceptację Regulaminu.
Polityka prywatności. Ustawienia preferencji. Copyright: INTERIA.PL 1999-2023 Wszystkie prawa zastrzeżone.