Pierwsza osoba ma 4 możliwości wyboru krzeseł, więc kolejna ma tylko 3 – zgodnie z regułą mnożenia iloczyn tych opcji jest liczbą wszystkich przypadków.
Zdarzeniu A sprzyjają 4 możliwości – pierwsza osoba siada na jednym z czterech krzeseł, a druga osoba ma jedno krzesło do wyboru (naprzeciwko) – zgodnie z regułą mnożenia iloczyn tych opcji jest liczbą wszystkich przypadków.
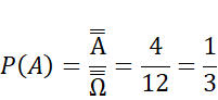
Prawdopodobieństwo tego zdarzenia oblicz, dzieląc ilość zdarzeń mu sprzyjających przez ilość wszystkich możliwości.