Wyznacz prawdopodobieństwo zdarzenia, polegającego na dwukrotnym wylosowaniu kuli tego samego koloru z pudełka, w którym są dwie kule niebieskie i jedna czerwona, wiedząc, że nie zwracamy kuli.
A.
B.
C.
D.
Rozwiązanie
Odpowiedź: C.
Wyjaśnienie
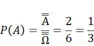
Najpierw oblicz wszystkie możliwości wyboru kul (). Zauważ, że za pierwszym razem można wylosować 1 z 3 kul, a za drugim razem tylko spośród 2. Zdarzenia, które sprzyjają nam, to wylosowanie dwukrotnie kuli niebieskiej lub czerwonej. W przypadku pierwszym można wylosować jedną z dwóch kul, a za drugim razem – tylko jedną w drugim – jedną za pierwszym razem i zero za drugim. Zsumuj oba przypadki i podziel je przez wszystkie możliwości.