Skul.pl
  • Opracowania zadań z podręczników
  • Matematyka. Klasa 8. Zeszyt ćwiczeń - rozwiązania i odpowiedzi
  • Podpunkt a)

Matematyka. Klasa 8. Zeszyt ćwiczeń - rozwiązania i odpowiedzi

Zeszyt ćwiczeń, Wydawnictwo: WSiP
Poprzednie

Zadanie 7., a) - strona 82

Następne

Zadanie

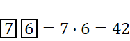
Wyznacz ilość możliwości zaparkowania dwóch samochodów - białego porsche i czerwonego ferrari na 7 wolnych miejscach parkingowych, znajdujących się obok siebie.

Rozwiązanie

Skul

Wyjaśnienie

Na wybranie pierwszego miejsce masz 7 możliwości, natomiast na wybranie drugiego już 6 (jedno zostało zajęte). Zgodnie z regułą mnożenia wymnóż przez siebie te opcje.

Poprzednie
Następne

Matematyka - wybrane pytania

Zadanie 12, strona 251, MATeMAtyka. Klasa 3. Zbiór zadań. Zakres podstawowy i rozszerzony – rozwiązania i odpowiedzi
Ćwiczenie 3., strona 99, Matematyka z plusem. Klasa 5. Zbiór zadań - rozwiązania i odpowiedzi
Ćwiczenie 7., strona 41, Matematyka wokół nas. Klasa 5. Podręcznik - rozwiązania i odpowiedzi
Zadanie 34., strona 16, MATeMAtyka. Klasa 1. Zbiór Zadań. Zakres podstawowy i rozszerzony – rozwiązania i odpowiedzi
Zadanie 10*, strona 187, Matematyka. Klasa 5. Podręcznik – rozwiązania i odpowiedzi
Zadanie 1, strona 83, Matematyka wokół nas. Klasa 7. Zeszyt ćwiczeń – rozwiązania i odpowiedzi
Ćwiczenie 6., strona 46, Matematyka. Klasa 5. Zeszyt ćwiczeń. Część 2 - rozwiązania i odpowiedzi
Zadanie 15, strona 32, Matematyka z plusem. Klasa 7. Zbiór zadań – rozwiązania i odpowiedzi
Zadanie 2, strona 19, Teraz matura. Klasa 4. Zbiór zadań. Poziom podstawowy – rozwiązania i odpowiedzi
Ćwiczenie 1., strona 75, Matematyka z plusem. Klasa 6. Podręcznik - rozwiązania i odpowiedzi
REKLAMA
Skul
Zadania z tego działu
10. Kombinatoryka i rachunek prawdopodobieństwa
81
10.1. Kombinatoryka
81

Zadanie 1.

81

Zadanie 2.

81

Zadanie 3.

81

Zadanie 4.

81

Zadanie 5.

82

Podpunkt a)

82

Podpunkt b)

82

Podpunkt c)

82

Zadanie 6.

82

Podpunkt a)

82

Podpunkt b)

82

Podpunkt c)

82

Zadanie 7.

82

Podpunkt a)

82

Podpunkt b)

82

Zadanie 8.

83

Podpunkt a)

83

Podpunkt b)

83

Podpunkt c)

83

Podpunkt d)

83

Zadanie 9.

83

Podpunkt a)

83

Podpunkt b)

83
10.2. Rachunek prawdopodobieństwa
84

Zadanie 1.

84

Zadanie 2.

84

Zadanie 3.

84

Zadanie 4.

85

Zadanie 5.

85

Zadanie 6.

85

Zadanie 7.

86

Zadanie 8.

86

Podpunkt a)

86

Podpunkt b)

86

Podpunkt c)

86

Podpunkt d)

86

Zadanie 9.

87

Podpunkt a)

87

Podpunkt b)

87

Zadanie 10.

87

Podpunkt a)

87

Podpunkt b)

87

Zadanie 11.

87
Pełny spis treści
Skul
Artboard 1
Skul.pl
  • Napisz do nas
  • FAQ
  • Mapa Serwisu
  • Google Play
  • App Store

Korzystanie z portalu oznacza akceptację Regulaminu.
Polityka prywatności. Ustawienia preferencji. Copyright: INTERIA.PL 1999-2023 Wszystkie prawa zastrzeżone.