Wyznacz prawdopodobieństwo zdarzenia, polegającego na dwukrotnym wylosowaniu kuli tego samego koloru z pudełka, w którym są dwie kule niebieskie i jedna czerwona, wiedząc, że każdym razem kula jest zwracana.
A.
B.
C.
D.
Rozwiązanie
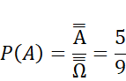
Odpowiedź: B.
Wyjaśnienie
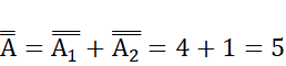
Najpierw oblicz wszystkie możliwości wyboru kul (). Zauważ, że za pierwszym razem można wylosować 1 z 3 kul i podobnie za drugim razem. Zdarzenia, które sprzyjają nam, to wylosowanie dwukrotnie kuli niebieskiej lub czerwonej. W przypadku pierwszym można wylosować jedną z dwóch kul (dwukrotnie), a w drugim – tylko jedną (dwukrotnie). Zsumuj oba przypadki i podziel je przez wszystkie możliwości.