Wyznacz prawdopodobieństwo zdarzenia, polegającego na tym, że nie wylosowano damy, wiedząc, że z sześciu kart (rysunek) losujemy dwukrotnie ze zwracaniem.
Rozwiązanie
Wyjaśnienie
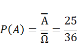
Zauważ, że wybierając kartę, masz 6 możliwości za każdym razem. Zgodnie z regułą mnożenia liczba wszystkich przypadków () będzie równa iloczynowi tych opcji. Zdarzeniu A sprzyja 25 przypadków (podczas pierwszego losowania masz 5 opcji i podczas drugiego także 5 opcji). Prawdopodobieństwo tego zdarzenia oblicz, dzieląc ilość zdarzeń mu sprzyjających przez ilość wszystkich możliwości.