W tym zadaniu musisz obliczyć pole trapezu.
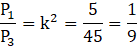
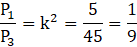
Skoro skala tyle wynosi, to:
Zauważ, że pola trójkątów FBC i ABF można wyliczyć za pomocą wysokości opuszczonej z wierzchołka B, która jest taka sama dla obydwu trójkątów, więc:
Zadanie 5.1.
Zadanie 5.2.
Podpunkt a)
Podpunkt b)
Zadanie 5.3.
Zadanie 5.4.
Zadanie 5.5.
Zadanie 5.6.
Zadanie 5.7
Zadanie 5.8.
Zadanie 5.9.
Zadanie 5.10.
Zadanie 5.11.
Podpunkt c)
Zadanie 5.12.
Zadanie 5.13.
Zadanie 5.14.
Zadanie 5.15.
Zadanie 5.16.
Zadanie 5.17.
Zadanie 5.18.
Zadanie 5.19.
Zadanie 5.20.
Zadanie 5.21.
Zadanie 5.22.
Zadanie 5.23.
Podpunkt d)
Zadanie 5.24.
Zadanie 5.25.
Zadanie 5.26
Zadanie 5.27.
Zadanie 5.28.
Zadanie 5.29.
Zadanie 5.30.
Zadanie 5.31.
Zadanie 5.32.
Zadanie 5.33.
Zadanie 5.34.
Zadanie 5.35.
Zadanie 5.36.
Zadanie 5.37.
Zadanie 5.38.
Zadanie 5.39.
Zadanie 5.40.
Zadanie 5.41.
Zadanie 5.42.
Zadanie 5.43.
Zadanie 5.44.
Zadanie 5.45.
Zadanie 5.46.
Zadanie 5.47.
Zadanie 5.48.
Zadanie 5.49.
Zadanie 5.50.
Zadanie 5.51.
Zadanie 5.52.
Zadanie 5.53.
Zadanie 5.54.
Zadanie 5.55.
Zadanie 5.56.
Zadanie 5.57.
Zadanie 5.58.
Zadanie 5.59.
Zadanie 5.60.
Zadanie 5.61.
Zadanie 5.62.
Zadanie 5.63.
Zadanie 5.64.
Zadanie 5.65.
Zadanie 5.66.
Zadanie 5.67.
Zadanie 5.68.
Zadanie 5.69.
Zadanie 5.70.
Zadanie 5.71.
Zadanie 1.
Zadanie 2.
Zadanie 3.
Zadanie 4.
Zadanie 5.
Zadanie 6.
Zadanie 7.
Zadanie 8.
Zadanie 9.
Zadanie 11.
Zadanie 12.
Zadanie 13.
Zadanie 14.
Zadanie 15.
Zadanie 16.
Zadanie 17.
Zadanie 18.
Zadanie 19.
Zadanie 20.
Zadanie 21.
Zadanie 22.
Zadanie 23.
Zadanie 24.
Zadanie 25.