Zwizualizuj nasze dane za pomocą rysunku.
Suma kątów przyległych to 180
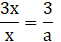
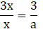
Dwa trójkąty są do siebie podobne:
Porównaj do siebie boki tych trójkątów.
Aby wyznaczyć pole czworokąta DEFC, policz pola dwóch trójkątów i prostokąta.
Od pola prostokąta odejmij pola trójkątów: