Zwizualizuj dane na rysunku.
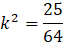
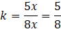
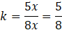
Zauważ, że trójkąty ABE i DEC są podobne, ze względu na takie same kąty (wierzchołkowe i naprzemianległe), więc ich skala:
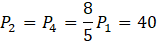
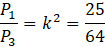
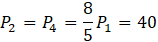
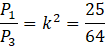
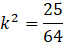
Teraz uzależnij od siebie pola trójkątów:
Teraz wyznacz pola pozostałych dwóch trójkątów. Skorzystaj z wzorów:
Zsumuj je wszystkie.
Teraz wysznacz pola poszczególnych trójkątów.