Założenie: M – środek boku DC
Przekątna DB przecina odcinek AM w punkcie P
Teza:
Dowód:
Zapisz pola trójkątów:
Trójkąty mają to samo pole.
Dwa trójkąty są podobne.
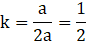
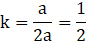
Policz skalę podobieństwa:
Skala podobieństwa pól figur podobnych to
Policz pole trójkąta ABD:
Podstaw
Trójkąt BCD ma takie samo pole: