W tym zadaniu musisz obliczyć pole kwadratu.
Odpowiedź: B.
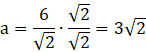
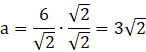
Wzór na przekątną w kwadracie:
Oblicz pole:
Odpowiedź: B.
Zadanie 5.2.
79Zadanie 5.8.
79Zadanie 5.11.
80Zadanie 5.12.
80Zadanie 5.14.
80Zadanie 5.18.
81Zadanie 5.23.
81Zadanie 5.24.
81Zadanie 5.25.
81Zadanie 5.26
82Zadanie 5.27.
82Zadanie 5.30.
82Zadanie 5.34.
82Zadanie 5.35.
82Zadanie 5.39.
83Zadanie 5.40.
83Zadanie 5.42.
83Zadanie 5.43.
83Zadanie 5.44.
84Zadanie 5.45.
84Zadanie 5.46.
84Zadanie 5.48.
84Zadanie 5.49.
84Zadanie 5.51.
85Zadanie 5.53.
85Zadanie 5.58.
86Zadanie 5.59.
86Zadanie 5.60.
86Zadanie 5.61.
86Zadanie 5.62.
86Zadanie 5.66.
87Zadanie 5.67.
87Zadanie 12.
89Zadanie 14.
89Zadanie 16.
90