Zwizualizuj nasze dane za pomocą rysunku.
Wyznacz wartość AC z twierdzenia cosinusów.
Wyznacz wysokość h.
Oblicz długość dłuższej podstawy.
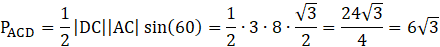
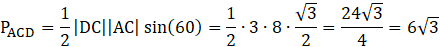
Podstaw do wzoru na pole.