Zwizualizuj nasze dane za pomocą rysunku.
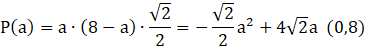
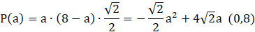
Z poprzedniego Podpunktu masz:
Ramiona tej funkcji są skierowane w dół, dlatego największe pole będzie w wierzchołku funkcji.
Aby otrzymać największe pole, należy współrzędną x podstawić pod równanie.