Zwizualizuj nasze dane za pomocą rysunku.
Zacznij od wyznaczenia dłuższej przekątnej:
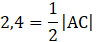
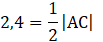
Skorzystaj z twierdzenia w trójkącie ACD, że odcinek łączący środki ramion w trójkącie jest równy połowie podstawy:
Policz pole rombu: