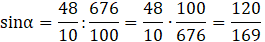
W tym zadaniu musisz obliczyć sinus kąta ostrego rombu.
Zwizualizuj nasze dane za pomocą rysunku.
Skorzystaj ze wzoru na pole:
Zadanie 5.2.
79Zadanie 5.8.
79Zadanie 5.11.
80Zadanie 5.12.
80Zadanie 5.14.
80Zadanie 5.18.
81Zadanie 5.23.
81Zadanie 5.24.
81Zadanie 5.25.
81Zadanie 5.26
82Zadanie 5.27.
82Zadanie 5.30.
82Zadanie 5.34.
82Zadanie 5.35.
82Zadanie 5.39.
83Zadanie 5.40.
83Zadanie 5.42.
83Zadanie 5.43.
83Zadanie 5.44.
84Zadanie 5.45.
84Zadanie 5.46.
84Zadanie 5.48.
84Zadanie 5.49.
84Zadanie 5.51.
85Zadanie 5.53.
85Zadanie 5.58.
86Zadanie 5.59.
86Zadanie 5.60.
86Zadanie 5.61.
86Zadanie 5.62.
86Zadanie 5.66.
87Zadanie 5.67.
87Zadanie 12.
89Zadanie 14.
89Zadanie 16.
90