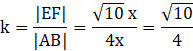
W tym zadaniu musisz obliczyć skalę podobieństwa.
Zadanie 5.2.
79Zadanie 5.8.
79Zadanie 5.11.
80Zadanie 5.12.
80Zadanie 5.14.
80Zadanie 5.18.
81Zadanie 5.23.
81Zadanie 5.24.
81Zadanie 5.25.
81Zadanie 5.26
82Zadanie 5.27.
82Zadanie 5.30.
82Zadanie 5.34.
82Zadanie 5.35.
82Zadanie 5.39.
83Zadanie 5.40.
83Zadanie 5.42.
83Zadanie 5.43.
83Zadanie 5.44.
84Zadanie 5.45.
84Zadanie 5.46.
84Zadanie 5.48.
84Zadanie 5.49.
84Zadanie 5.51.
85Zadanie 5.53.
85Zadanie 5.58.
86Zadanie 5.59.
86Zadanie 5.60.
86Zadanie 5.61.
86Zadanie 5.62.
86Zadanie 5.66.
87Zadanie 5.67.
87Zadanie 12.
89Zadanie 14.
89Zadanie 16.
90