Zwizualizuj nasze dane za pomocą rysunku.
Dwa trójkąty mają te same pola (mają taką samą podstawę i wysokość):
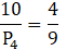
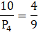
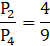
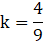
Z poprzedniego Podpunktu wiadomo:
Masz dwa podobne trójkąty:
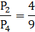
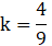
Skala podobieństwa pól to skala podniesiona do kwadratu:
Policz pole trapezu: