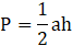
trójkąt GCD
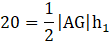
trójkąt AGD
Zwizualizuj nasze dane za pomocą rysunku.
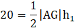
Rozważ trójkąt GCD
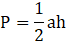
Rozważ trójkąt AGD
Inne położenia