Skul.pl
  • Opracowania zadań z podręczników
  • Matematyka. Klasa 8. Zeszyt ćwiczeń - rozwiązania i odpowiedzi
  • Zadanie 3.

Matematyka. Klasa 8. Zeszyt ćwiczeń - rozwiązania i odpowiedzi

Zeszyt ćwiczeń, Wydawnictwo: WSiP
Poprzednie

Zadanie 3. - strona 29

Następne

Zadanie

Jakie jest pole powierzchni całkowitej graniastosłupa prostego o podstawie w kształcie trójkąta prostokątnego i wymiarach podanych na rysunku?

Rozwiązanie

Skul

Wyjaśnienie

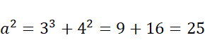
Korzystając z twierdzenia Pitagorasa oblicz długość przeciwprostokątnej trójkąta znajdującego się w podstawie. Następnie oblicz pola wszystkich ścian i dodaj je do siebie.

Poprzednie
Następne

Matematyka - wybrane pytania

Zadanie 26, strona 208, MATeMAtyka. Klasa 1. Zbiór zadań. Zakres podstawowy – rozwiązania i odpowiedzi
Ćwiczenie 2., strona 468, Matematyka. Klasa 3. Zakres rozszerzony. Podręcznik - rozwiązania i odpowiedzi
Zadanie 11., strona 16, Matematyka z kluczem. Klasa 5. Zbiór zadań - rozwiązania i odpowiedzi
Zadanie Co było na lekcji 6, strona 104, Matematyka. Klasa 6. Zeszyt ćwiczeń. Część 2 - rozwiązania i odpowiedzi
Zadanie 29, strona 16, Matura z matematyki. Poziom podstawowy. 2021
Zadanie 2, strona 100, Matematyka z plusem. Klasa 2. Podręcznik. Zakres podstawowy - rozwiązania i odpowiedzi
Zadanie 4, strona 2, Matura z matematyki. Poziom rozszerzony. 2022
Zadanie 40, strona 303, MATeMAtyka 4. Zakres podstawowy i rozszerzony. Podręcznik - rozwiązania i odpowiedzi
Przykład 1, strona 39, Matematyka z plusem. Klasa 2. Podręcznik. Zakres podstawowy - rozwiązania i odpowiedzi
Zadanie 4, strona 95, Matematyka. Klasa 6. Zeszyt ćwiczeń – rozwiązania i odpowiedzi
REKLAMA
Skul
Zadania z tego działu
3. Graniastosłupy
27
3.1 Własności graniastosłupów
27

Zadanie 1.

27

Zadanie 2.

27

Podpunkt a)

27

Podpunkt b)

27

Podpunkt c)

27

Zadanie 3.

27

Zadanie 4.

28

Zadanie 5.

28

Zadanie 6.

28

Zadanie 7.

28
3.2 Pole powierzchni graniastosłupa
29

Zadanie 1.

29

Zadanie 2.

29

Zadanie 3.

29

Zadanie 4.

29

Zadanie 5.

30

Zadanie 6.

30

Zadanie 7.

30

Zadanie 8.

30
3.3 Objętość graniastosłupa
31

Zadanie 1.

31

Zadanie 2.

31

Zadanie 3.

31

Zadanie 4.

31

Zadanie 5.

32

Zadanie 6.

32

Zadanie 7.

32

Zadanie 8.

32
3.4 Odcinki i kąty w graniastosłupach
33

Zadanie 1.

33

Zadanie 2.

33

Zadanie 3.

33

Zadanie 4.

33

Zadanie 5.

34

Zadanie 6.

34

Zadanie 7.

34

Zadanie 8.

34

Zadanie 9.

35

Zadanie 10.

35
Pełny spis treści
Skul
Artboard 1
Skul.pl
  • Napisz do nas
  • FAQ
  • Mapa Serwisu
  • Google Play
  • App Store

Korzystanie z portalu oznacza akceptację Regulaminu.
Polityka prywatności. Ustawienia preferencji. Copyright: INTERIA.PL 1999-2023 Wszystkie prawa zastrzeżone.