Jakie wymiary ma graniastosłup prawidłowy czworokątny o polu powierzchni całkowitej równym 112 i polu powierzchni bocznej równym 80.
Rozwiązanie
Wyjaśnienie
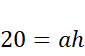
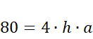
Pole powierzchni całkowitej tego graniastosłupa to suma pól 4 prostokątów o wymiarach oraz dwóch kwadratowych podstaw o wymiarach . Najpierw oblicz ile wynosi suma pól obu podstaw, odejmując od pola pow. całkowitej pole pow. bocznej, a następnie wylicz długość krawędzi podstawy. Wiesz, ile wynosi pole powierzchni jednego prostokąta będącego ścianą boczną tego graniastosłupa, a więc z tego możesz wyliczyć jego wysokość.