Odpowiedź: Długości przekątnych tego graniastosłupa są równe:
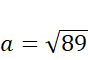
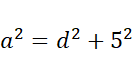
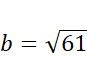
Zauważ, że przekątne tego graniastosłupa tworzą wraz z jego wysokością i odpowiednią przekątna podstawy dwa trójkąty prostokątne. Przekątne graniastosłupa są przeciwprostokątnymi tych trójkątów. Ich długość oblicz z twierdzenia Pitagorasa.