Skul.pl
  • Opracowania zadań z podręczników
  • Matematyka. Klasa 8. Zeszyt ćwiczeń - rozwiązania i odpowiedzi
  • Podpunkt b)

Matematyka. Klasa 8. Zeszyt ćwiczeń - rozwiązania i odpowiedzi

Zeszyt ćwiczeń, Wydawnictwo: WSiP
Poprzednie

Zadanie 2., b) - strona 27

Następne

Zadanie

Graniastosłup o 26 wierzchołkach ma ____ krawędzi.

Rozwiązanie

– liczba wierzchołków graniastosłupa.

– liczba kątów wielokąta w podstawie.

Graniastosłup o 26 wierzchołkach ma 39 krawędzi.

Skul

Wyjaśnienie

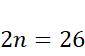
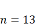
Wiedząc, że graniastosłup o podstawie n-kąta ma 2n wierzchołków oblicz n. Następnie pamiętając, że graniastosłup o podstawie n-kąta ma 3n krawędzi oblicz ich ilość.

Poprzednie
Następne

Matematyka - wybrane pytania

Zadanie 21, strona 91, Matematyka z kluczem. Klasa 4. Zbiór zadań – rozwiązania i odpowiedzi
Zadanie 13, strona 22, Matura z matematyki. Poziom rozszerzony. 2023
Zadanie 29., strona 27, Matematyka 4. Klasa 4. Zbiór zadań. Zakres rozszerzony - rozwiązania i odpowiedzi
Zadanie 10 zamknięte, strona 29, Matematyka wokół nas. Klasa 4. Zbiór zadań - rozwiązania i odpowiedzi
Zadanie 6., strona 158, Matematyka 4. Klasa 4. Zbiór zadań. Zakres rozszerzony - rozwiązania i odpowiedzi
Zadanie 25., strona 513, Matematyka. Klasa 3. Zakres rozszerzony. Podręcznik - rozwiązania i odpowiedzi
Ćwiczenie 1, strona 113, NOWA MATeMAtyka 1. Podręcznik. Zakres podstawowy
Zadanie 1, strona 61, Matematyka. Klasa 4. Podręcznik. Część 1 - rozwiązania i odpowiedzi
Ćwiczenie B, strona 76, Matematyka z plusem. Klasa 7. Podręcznik – rozwiązania i odpowiedzi
Zadanie 17, strona 11, Teraz matura. Klasa 4. Zbiór zadań. Poziom podstawowy – rozwiązania i odpowiedzi
REKLAMA
Skul
Zadania z tego działu
3. Graniastosłupy
27
3.1 Własności graniastosłupów
27

Zadanie 1.

27

Zadanie 2.

27

Podpunkt a)

27

Podpunkt b)

27

Podpunkt c)

27

Zadanie 3.

27

Zadanie 4.

28

Zadanie 5.

28

Zadanie 6.

28

Zadanie 7.

28
3.2 Pole powierzchni graniastosłupa
29

Zadanie 1.

29

Zadanie 2.

29

Zadanie 3.

29

Zadanie 4.

29

Zadanie 5.

30

Zadanie 6.

30

Zadanie 7.

30

Zadanie 8.

30
3.3 Objętość graniastosłupa
31

Zadanie 1.

31

Zadanie 2.

31

Zadanie 3.

31

Zadanie 4.

31

Zadanie 5.

32

Zadanie 6.

32

Zadanie 7.

32

Zadanie 8.

32
3.4 Odcinki i kąty w graniastosłupach
33

Zadanie 1.

33

Zadanie 2.

33

Zadanie 3.

33

Zadanie 4.

33

Zadanie 5.

34

Zadanie 6.

34

Zadanie 7.

34

Zadanie 8.

34

Zadanie 9.

35

Zadanie 10.

35
Pełny spis treści
Skul
Artboard 1
Skul.pl
  • Napisz do nas
  • FAQ
  • Mapa Serwisu
  • Google Play
  • App Store

Korzystanie z portalu oznacza akceptację Regulaminu.
Polityka prywatności. Ustawienia preferencji. Copyright: INTERIA.PL 1999-2023 Wszystkie prawa zastrzeżone.