Skul.pl
  • Opracowania zadań z podręczników
  • Matematyka. Klasa 8. Zeszyt ćwiczeń - rozwiązania i odpowiedzi
  • Zadanie 5.

Matematyka. Klasa 8. Zeszyt ćwiczeń - rozwiązania i odpowiedzi

Zeszyt ćwiczeń, Wydawnictwo: WSiP
Poprzednie

Zadanie 5. - strona 30

Następne

Zadanie

Ile wynosipole powierzchni całkowitej graniastosłupa prawidłowego przedstawionego na rysunku?

Rozwiązanie

Skul

Wyjaśnienie

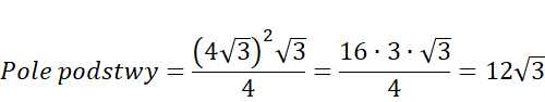
Oblicz pole podstawy graniastosłupa wiedząc, że graniastosłup prawidłowy ma w podstawie wielokąt foremny (w tym wypadku trójkąt równoboczny). Następnie oblicz pola prostokątów, które są ścianami tego graniastosłupa. Dodaj do siebie pola wszystkich ścian i dwóch podstaw.

Poprzednie
Następne

Matematyka - wybrane pytania

Zadanie 7, strona 11, Matura z matematyki. Formuła 2023. Poziom rozszerzony. Maj 2023
Zadanie 7., strona 204, Matematyka. Klasa 7. Zbiór zadań – rozwiązania i odpowiedzi
Zadanie 68., strona 141, Matematyka. Klasa 8. Zbiór zadań - rozwiązania i odpowiedzi
Zadanie 11., strona 234, Matematyka z Plusem. Klasa 1. Podręcznik. Poziom rozszerzony – rozwiązania i odpowiedzi
Zadanie 3.14., strona 414, Prosto do matury. Matematyka. Klasa 1. Zakres podstawowy. Podręcznik - rozwiązania i odpowiedzi
Zadanie 17., strona 261, Matematyka. Klasa 1. Podręcznik. Zakres rozszerzony – rozwiązania i odpowiedzi
Zadanie 16, strona 42, Matematyka z plusem. Klasa 5. Podręcznik - rozwiązania i odpowiedzi
Zadanie 4, strona 148, Matematyka z kluczem. Klasa 7. Podręcznik – rozwiązania i odpowiedzi
Zadanie 4.65., strona 264, Prosto do matury 4. Zakres podstawowy i rozszerzony. Podręcznik - rozwiązania i odpowiedzi
Zadanie 2., strona 98, Matematyka z kluczem. Klasa 8. Zbiór zadań – rozwiązania i odpowiedzi
REKLAMA
Skul
Zadania z tego działu
3. Graniastosłupy
27
3.1 Własności graniastosłupów
27

Zadanie 1.

27

Zadanie 2.

27

Podpunkt a)

27

Podpunkt b)

27

Podpunkt c)

27

Zadanie 3.

27

Zadanie 4.

28

Zadanie 5.

28

Zadanie 6.

28

Zadanie 7.

28
3.2 Pole powierzchni graniastosłupa
29

Zadanie 1.

29

Zadanie 2.

29

Zadanie 3.

29

Zadanie 4.

29

Zadanie 5.

30

Zadanie 6.

30

Zadanie 7.

30

Zadanie 8.

30
3.3 Objętość graniastosłupa
31

Zadanie 1.

31

Zadanie 2.

31

Zadanie 3.

31

Zadanie 4.

31

Zadanie 5.

32

Zadanie 6.

32

Zadanie 7.

32

Zadanie 8.

32
3.4 Odcinki i kąty w graniastosłupach
33

Zadanie 1.

33

Zadanie 2.

33

Zadanie 3.

33

Zadanie 4.

33

Zadanie 5.

34

Zadanie 6.

34

Zadanie 7.

34

Zadanie 8.

34

Zadanie 9.

35

Zadanie 10.

35
Pełny spis treści
Skul
Artboard 1
Skul.pl
  • Napisz do nas
  • FAQ
  • Mapa Serwisu
  • Google Play
  • App Store

Korzystanie z portalu oznacza akceptację Regulaminu.
Polityka prywatności. Ustawienia preferencji. Copyright: INTERIA.PL 1999-2023 Wszystkie prawa zastrzeżone.