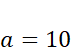
Krawędź podstawy jest równa 10.
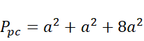
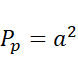
Graniastosłup prawidłowy czworokątny ma w podstawie kwadrat. Oblicz pole tego kwadratu i pole ściany graniastosłupa. Następie dodaj do siebie 4 razy pole ściany i 2 razy pole podstawy, aby otrzymać pole powierzchni całkowitej. Przyrównaj to pole do wartości podanej w zdaniu i wylicz krawędź podstawy.