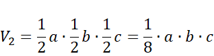
Jeżeli długość każdej krawędzi prostopadłościanu zmniejszymy dwukrotnie, to jego objętość dwukrotnie zmaleje. - fałsz
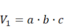
Jeżeli długość każdej krawędzi prostopadłościanu zwiększymy trzykrotnie, to jego objętość wzrośnie 27 razy. - prawda
Oblicz objętość prostopadłościanu na zmiennych w trzech przypadkach: wymiary wyjściowe, wymiary zmniejszone dwukrotnie i wymiary zwiększone trzykrotnie. Sprawdź, które zdania są prawdziwe.