Skul.pl
  • Opracowania zadań z podręczników
  • Matematyka. Klasa 8. Zeszyt ćwiczeń - rozwiązania i odpowiedzi
  • Zadanie 3.

Matematyka. Klasa 8. Zeszyt ćwiczeń - rozwiązania i odpowiedzi

Zeszyt ćwiczeń, Wydawnictwo: WSiP
Poprzednie

Zadanie 3. - strona 33

Następne

Zadanie

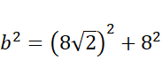
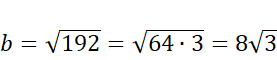
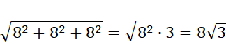
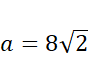
Ile jest równa przekątna sześcianu o krawędzi 8?

A.

B.

C.

D.16

Rozwiązanie

zoom

Odpowiedź: A. , C. .

Skul

Wyjaśnienie

Oblicz długość przekątnej podstawy tego sześcianu (jest to przekątna kwadratu o boku 8), a następnie z twierdzenia Pitagorasa oblicz długość przekątnej tego sześcianu.

Poprzednie
Następne

Matematyka - wybrane pytania

Zadanie 7., strona 68, Matematyka z kluczem. Klasa 4. Zeszyt ćwiczeń - rozwiązania i odpowiedzi
Zadanie 2, strona 241, Matematyka wokół nas. Klasa 4. Podręcznik - rozwiązania i odpowiedzi
Zadanie 6, strona 85, Teraz matura. Klasa 4. Zbiór zadań. Poziom podstawowy – rozwiązania i odpowiedzi
Ćwiczenie 3, strona 202, Matematyka i przykłady jej zastosowań. Klasa 1.Podręcznik. Zakres podstawowy i rozszerzony - rozwiązania i odpowiedzi
Zadanie 16., strona 99, Matematyka z kluczem. Klasa 8. Zbiór zadań – rozwiązania i odpowiedzi
Ćwiczenie 16., strona 135, Matematyka. Klasa 4. Podręcznik – rozwiązania i odpowiedzi
Zadanie S1, strona 146, Matematyka z plusem. Klasa 2. Podręcznik. Zakres rozszerzony – rozwiązania i odpowiedzi
Zadanie 7, strona 450, Matematyka. Klasa 2. Podręcznik. Zakres rozszerzony – rozwiązania i odpowiedzi
Zadanie 5, strona 42, Matematyka z plusem. Klasa 5. Zeszyt Ćwiczeń – rozwiązania i odpowiedzi
Ćwiczenie 5., strona 26, Matematyka z plusem. Klasa 6. Zeszyt ćwiczeń. Wersja B część 2/2 - rozwiązania i odpowiedzi.
REKLAMA
Skul
Zadania z tego działu
3. Graniastosłupy
27
3.1 Własności graniastosłupów
27

Zadanie 1.

27

Zadanie 2.

27

Podpunkt a)

27

Podpunkt b)

27

Podpunkt c)

27

Zadanie 3.

27

Zadanie 4.

28

Zadanie 5.

28

Zadanie 6.

28

Zadanie 7.

28
3.2 Pole powierzchni graniastosłupa
29

Zadanie 1.

29

Zadanie 2.

29

Zadanie 3.

29

Zadanie 4.

29

Zadanie 5.

30

Zadanie 6.

30

Zadanie 7.

30

Zadanie 8.

30
3.3 Objętość graniastosłupa
31

Zadanie 1.

31

Zadanie 2.

31

Zadanie 3.

31

Zadanie 4.

31

Zadanie 5.

32

Zadanie 6.

32

Zadanie 7.

32

Zadanie 8.

32
3.4 Odcinki i kąty w graniastosłupach
33

Zadanie 1.

33

Zadanie 2.

33

Zadanie 3.

33

Zadanie 4.

33

Zadanie 5.

34

Zadanie 6.

34

Zadanie 7.

34

Zadanie 8.

34

Zadanie 9.

35

Zadanie 10.

35
Pełny spis treści
Skul
Artboard 1
Skul.pl
  • Napisz do nas
  • FAQ
  • Mapa Serwisu
  • Google Play
  • App Store

Korzystanie z portalu oznacza akceptację Regulaminu.
Polityka prywatności. Ustawienia preferencji. Copyright: INTERIA.PL 1999-2023 Wszystkie prawa zastrzeżone.