Ile litrów wody znajduje się w prostopadłościennym akwarium o wymiarach podstawy 40 cm x 60 cm i wysokości 6 dm, które jest napełnione wodą do wysokości?
Rozwiązanie
Odpowiedź: W akwarium jest 96 litrów wody.
Wyjaśnienie
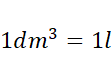
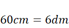
Pamiętając, że 10cm=1dm zamień centymetry na decymetry. Następnie oblicz ile jest równewysokości tego prostopadłościanu. Wylicz objętość, która zajmuje woda: Pomnóż pole podstawy iwysokości ze sobą. Zamień decymetry sześcienne na litry wiedząc, że .