Odpowiedź: Sześciokąt
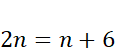
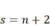
Graniastosłup o podstawie n-kąta ma 2n wierzchołków i n+2 ścian. Liczba ścian jest mniejsza o 4 od liczby wierzchołków, więc jeśli dodasz 4 do liczby ścian, to będzie ona równa liczbie wierzchołków. Przyrównaj obie wartości i oblicz n.