Skul.pl
  • Opracowania zadań z podręczników
  • Matematyka. Klasa 8. Zeszyt ćwiczeń - rozwiązania i odpowiedzi
  • Zadanie 1.

Matematyka. Klasa 8. Zeszyt ćwiczeń - rozwiązania i odpowiedzi

Zeszyt ćwiczeń, Wydawnictwo: WSiP
Poprzednie

Zadanie 1. - strona 31

Następne

Zadanie

Ile jest równa objętość graniastosłupa prawidłowego trójkątnego o krawędzi podstawy długości 4 i wysokości długości 6?

A.

B.

C.

D.

Rozwiązanie

Odpowiedź: A.

Skul

Wyjaśnienie

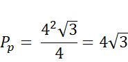
Objętość graniastosłupa jest równa iloczynowi podstawy i wysokości graniastosłupa. Oblicz pole trójkąta równobocznego znajdującego się w podstawie i pomnóż go przez wysokość graniastosłupa.

Poprzednie
Następne

Matematyka - wybrane pytania

Zadanie 33., strona 145, Matematyka. Klasa 8. Zbiór zadań - rozwiązania i odpowiedzi
Ćwiczenie 8, strona 147, Matematyka wokół nas. Klasa 4. Podręcznik - rozwiązania i odpowiedzi
Ćwiczenie 2, strona 147, Matematyka wokół nas. Klasa 4. Podręcznik - rozwiązania i odpowiedzi
Zadanie 5, strona 163, Matematyka. Klasa 6. Podręcznik. Część 2 - rozwiązania i odpowiedzi
Zadanie 2., strona 216, MATeMAtyka. Klasa 2. Podręcznik. Zakres podstawowy i rozszerzony – rozwiązania i odpowiedzi
Ćwiczenie 8, strona 32, Matematyka z Plusem. Geometria. Klasa 4. Zeszyt ćwiczeń. Wersja A. Część 2/3 - rozwiązania i odpowiedzi
Zadanie 1., strona 77, Matematyka z kluczem. Klasa 4. Zeszyt ćwiczeń - rozwiązania i odpowiedzi
Zadanie 7., strona 259, Matematyka. Klasa 2. Podręcznik. Zakres podstawowy - rozwiązania i odpowiedzi
Ćwiczenie sprawdzające 2., strona 58, Matematyka. Klasa 8. Podręcznik - rozwiązania i odpowiedzi
Zadanie 4, strona 60, Matematyka z kluczem. Klasa 8. Zeszyt ćwiczeń - rozwiązania i odpowiedzi
REKLAMA
Skul
Zadania z tego działu
3. Graniastosłupy
27
3.1 Własności graniastosłupów
27

Zadanie 1.

27

Zadanie 2.

27

Podpunkt a)

27

Podpunkt b)

27

Podpunkt c)

27

Zadanie 3.

27

Zadanie 4.

28

Zadanie 5.

28

Zadanie 6.

28

Zadanie 7.

28
3.2 Pole powierzchni graniastosłupa
29

Zadanie 1.

29

Zadanie 2.

29

Zadanie 3.

29

Zadanie 4.

29

Zadanie 5.

30

Zadanie 6.

30

Zadanie 7.

30

Zadanie 8.

30
3.3 Objętość graniastosłupa
31

Zadanie 1.

31

Zadanie 2.

31

Zadanie 3.

31

Zadanie 4.

31

Zadanie 5.

32

Zadanie 6.

32

Zadanie 7.

32

Zadanie 8.

32
3.4 Odcinki i kąty w graniastosłupach
33

Zadanie 1.

33

Zadanie 2.

33

Zadanie 3.

33

Zadanie 4.

33

Zadanie 5.

34

Zadanie 6.

34

Zadanie 7.

34

Zadanie 8.

34

Zadanie 9.

35

Zadanie 10.

35
Pełny spis treści
Skul
Artboard 1
Skul.pl
  • Napisz do nas
  • FAQ
  • Mapa Serwisu
  • Google Play
  • App Store

Korzystanie z portalu oznacza akceptację Regulaminu.
Polityka prywatności. Ustawienia preferencji. Copyright: INTERIA.PL 1999-2023 Wszystkie prawa zastrzeżone.