Skul.pl
  • Opracowania zadań z podręczników
  • Matematyka. Klasa 8. Zeszyt ćwiczeń - rozwiązania i odpowiedzi
  • Podpunkt c)

Matematyka. Klasa 8. Zeszyt ćwiczeń - rozwiązania i odpowiedzi

Zeszyt ćwiczeń, Wydawnictwo: WSiP
Poprzednie

Zadanie 2., c) - strona 27

Następne

Zadanie

Graniastosłup o 21 krawędziach ____ ma ścian.

Rozwiązanie

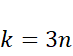
– liczba krawędzi graniastosłupa.

– liczba kątów wielokąta w podstawie graniastosłupa.

Graniastosłup o 21 krawędziach 9 ma ścian.

Skul

Wyjaśnienie

Wiedząc, że graniastosłup o podstawie n-kąta ma 3n krawędzi oblicz n. Otrzymany wynik jest również równy ilości ścian graniastosłupa, aby obliczyć ilość wszystkich jego ścian, dodaj jeszcze dwie podstawy.

Poprzednie
Następne

Matematyka - wybrane pytania

Zadanie 6, strona 25, Matematyka z kluczem. Klasa 7. Zeszyt ćwiczeń – rozwiązania i odpowiedzi
Zadanie 14., strona 208, Matematyka wokół nas. Klasa 7. Podręcznik - rozwiązania i odpowiedzi
Zadanie 9., strona 54, Matematyka wokół nas. Klasa 7. Podręcznik - rozwiązania i odpowiedzi
Zadanie 16, strona 6, Matematyka. Klasa 6. Zbiór zadań – rozwiązania i odpowiedzi
Zadanie 4, strona 19, Matematyka wokół nas. Klasa 7. Zeszyt ćwiczeń – rozwiązania i odpowiedzi
Zadanie 14, strona 14, Matematyka z plusem. Klasa 2. Podręcznik. Zakres podstawowy - rozwiązania i odpowiedzi
Zadanie 7, strona 48, Matematyka. Klasa 5. Zeszyt ćwiczeń – rozwiązania i odpowiedzi
Zadanie 5., strona 32, Matematyka. Klasa 4. Zeszyt ćwiczeń – rozwiązania i odpowiedzi
Ćwiczenie 2., strona 94, Matematyka wokół nas. Klasa 8. Podręcznik - rozwiązania i odpowiedzi
Zadanie 1.26., strona 103, Prosto do matury. Klasa 4. Podręcznik. Zakres podstawowy - rozwiązania i odpowiedzi
REKLAMA
Skul
Zadania z tego działu
3. Graniastosłupy
27
3.1 Własności graniastosłupów
27

Zadanie 1.

27

Zadanie 2.

27

Podpunkt a)

27

Podpunkt b)

27

Podpunkt c)

27

Zadanie 3.

27

Zadanie 4.

28

Zadanie 5.

28

Zadanie 6.

28

Zadanie 7.

28
3.2 Pole powierzchni graniastosłupa
29

Zadanie 1.

29

Zadanie 2.

29

Zadanie 3.

29

Zadanie 4.

29

Zadanie 5.

30

Zadanie 6.

30

Zadanie 7.

30

Zadanie 8.

30
3.3 Objętość graniastosłupa
31

Zadanie 1.

31

Zadanie 2.

31

Zadanie 3.

31

Zadanie 4.

31

Zadanie 5.

32

Zadanie 6.

32

Zadanie 7.

32

Zadanie 8.

32
3.4 Odcinki i kąty w graniastosłupach
33

Zadanie 1.

33

Zadanie 2.

33

Zadanie 3.

33

Zadanie 4.

33

Zadanie 5.

34

Zadanie 6.

34

Zadanie 7.

34

Zadanie 8.

34

Zadanie 9.

35

Zadanie 10.

35
Pełny spis treści
Skul
Artboard 1
Skul.pl
  • Napisz do nas
  • FAQ
  • Mapa Serwisu
  • Google Play
  • App Store

Korzystanie z portalu oznacza akceptację Regulaminu.
Polityka prywatności. Ustawienia preferencji. Copyright: INTERIA.PL 1999-2023 Wszystkie prawa zastrzeżone.