Skul.pl
  • Opracowania zadań z podręczników
  • Matematyka. Klasa 8. Zeszyt ćwiczeń - rozwiązania i odpowiedzi
  • Zadanie 8.

Matematyka. Klasa 8. Zeszyt ćwiczeń - rozwiązania i odpowiedzi

Zeszyt ćwiczeń, Wydawnictwo: WSiP
Poprzednie

Zadanie 8. - strona 34

Następne

Zadanie

Jaką długość ma krawędź podstawy danego graniastosłupa?

Rozwiązanie

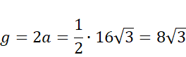
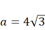
Długość krawędzi podstawy tego graniastosłupa jest równa .

Skul

Wyjaśnienie

Długość przekątnej podstawy tego graniastosłupa jest równa dwukrotnej długości krawędzi jego podstawy, a także z trójkąta charakterystycznego, połowie przekątnej tego graniastosłupa.

Poprzednie
Następne

Matematyka - wybrane pytania

Zadanie 11., strona 192, Matematyka. Prosto do matury. Klasa 1. Zakres podstawowy i rozszerzony. Podręcznik - rozwiązania i odpowiedzi
Zadanie 2., strona 55, Matematyka. Klasa 7. Zeszyt ćwiczeń - rozwiązania i odpowiedzi
Zadanie 3., strona 31, Matematyka. Klasa 4. Zeszyt ćwiczeń – rozwiązania i odpowiedzi
Zadanie A.9., strona 196, Matematyka. Klasa 8. Zbiór zadań - rozwiązania i odpowiedzi
Zadanie 4, strona 127, Matematyka z kluczem. Klasa 5. Podręcznik. Część 2 – rozwiązania i odpowiedzi
Zadanie 6., strona 62, Matematyka. Klasa 7. Zeszyt ćwiczeń - rozwiązania i odpowiedzi
Ćwiczenie 10., strona 166, Matematyka wokół nas. Klasa 5. Podręcznik - rozwiązania i odpowiedzi
Zadanie 38., strona 82, Matematyka z plusem. Klasa 4. Zbiór zadań - rozwiązania i odpowiedzi
Zadanie 18, strona 209, Matematyka. Klasa 6. Podręcznik - rozwiązania i odpowiedzi
Zadanie 4., strona 41, Matematyka. Klasa 8. Zeszyt ćwiczeń - rozwiązania i odpowiedzi
REKLAMA
Skul
Zadania z tego działu
3. Graniastosłupy
27
3.1 Własności graniastosłupów
27

Zadanie 1.

27

Zadanie 2.

27

Podpunkt a)

27

Podpunkt b)

27

Podpunkt c)

27

Zadanie 3.

27

Zadanie 4.

28

Zadanie 5.

28

Zadanie 6.

28

Zadanie 7.

28
3.2 Pole powierzchni graniastosłupa
29

Zadanie 1.

29

Zadanie 2.

29

Zadanie 3.

29

Zadanie 4.

29

Zadanie 5.

30

Zadanie 6.

30

Zadanie 7.

30

Zadanie 8.

30
3.3 Objętość graniastosłupa
31

Zadanie 1.

31

Zadanie 2.

31

Zadanie 3.

31

Zadanie 4.

31

Zadanie 5.

32

Zadanie 6.

32

Zadanie 7.

32

Zadanie 8.

32
3.4 Odcinki i kąty w graniastosłupach
33

Zadanie 1.

33

Zadanie 2.

33

Zadanie 3.

33

Zadanie 4.

33

Zadanie 5.

34

Zadanie 6.

34

Zadanie 7.

34

Zadanie 8.

34

Zadanie 9.

35

Zadanie 10.

35
Pełny spis treści
Skul
Artboard 1
Skul.pl
  • Napisz do nas
  • FAQ
  • Mapa Serwisu
  • Google Play
  • App Store

Korzystanie z portalu oznacza akceptację Regulaminu.
Polityka prywatności. Ustawienia preferencji. Copyright: INTERIA.PL 1999-2023 Wszystkie prawa zastrzeżone.