W tym zadaniu mamy do czynienia, z ostrosłupem którego wysokość wynosi h, i z którego odcinany jest mały ostrosłup poprzez płaszczyznę która jest równoległa do podstawy ostrosłupa. Twoim zadaniem jest określenie odległości od podstawy, w której należy przeprowadzić płaszczyznę cięcia, tak aby objętość mniejszego ostrosłupa była połową objętości głównego ostrosłupa.
Mniejszy ostrosłup ~ Większy ostrosłup
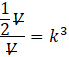
Niech V – objętość dużego ostrosłupa, v – objętość małego ostrosłupa
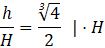
Niech H – wysokość dużego ostrosłupa, h – wysokość małego ostrosłupa
Z kolei odległość płaszczyzny cięcia od podstawy ostrosłupa to wysokość dużego ostrosłupa pomniejszona o wysokość mniejszego ostrosłupa i wynosi ona:
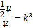
Zauważ, że jeśli odetniesz w sposób opisany w treści zadania mniejszy ostrosłup to otrzymasz bryłę podobną do dużego ostrosłupa. Jeśli przez V oznaczysz objętość głównego ostrosłupa, a przez v objętość małego ostrosłupa, to skala podobieństwa między mniejszym ostrosłupem a większym wynosi:
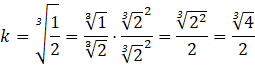
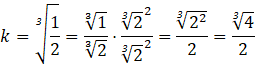
Objętość małego ostrosłupa ma być połową objętości dużego ostrosłupa, co po podstawieniu do powyższego wzoru da:
W tym przypadku musisz usunąć pierwiastek z mianownika. Jednakże pomnożenie przez ten sam pierwiastek nie sprawi, że z mianownika zniknie pierwiastek, gdyż są to pierwiastki trzeciego stopnia. Dlatego licznik i mianownik musisz pomnożyć przez kwadrat pierwiastka z mianownika, by łącznie w mianowniku był pierwiastek trzeciego stopnia do potęgi trzeciej. Wtedy dopiero w mianowniku będzie liczba naturalna.
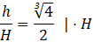
Jeśli wysokość dużego ostrosłupa oznaczysz jako H, zaś wysokość małego jako h, to ponieważ są to ostrosłupy podobne, zależność między tymi wysokościami wyraża się:
Podstawiając wcześniej obliczone k otrzymasz:
Wyznacz z tego równania h przez przemnożenie obu stron przez H.
Z kolei odległość płaszczyzny cięcia od podstawy ostrosłupa to wysokość dużego ostrosłupa pomniejszona o wysokość mniejszego ostrosłupa i wynosi ona:
Zadanie 16.
89Zadanie 17.
90Zadanie 18.
90Zadanie 25.
98Zadanie 27.
98Zadanie 16.
103Zadanie 17.
103Zadanie 19.
103Zadanie 14.
111Zadanie 13.
114Zadanie 14.
114Zadanie 21.
131Zadanie 23.
137Zadanie 28.
138Zadanie 20.
142Zadanie 23.
148