W tym zadaniu musisz wyznaczyć, ile wynoszą funkcje trygonometryczne kąta będącego kątem nachylenia do osi OX prostej zadanej równaniem y = -3x + 5.
Współczynnik kierunkowy prostej to tangens kąta nachylenia tej prostej do osi OX.
Gdzie, α to kąt nachylenia prostej do osi OX
Podsumowując:
Współczynnik kierunkowy prostej to tangens kąta nachylenia tej prostej do osi OX. Oczywiście współczynnik kierunkowy to liczba stojąca przy x w równaniu prostej w postaci kierunkowej. Podane równanie jest w postaci kierunkowej (gdyż po jednej stronie jest sam y). Więc:
Gdzie, α to kąt nachylenia prostej do osi OX
Cotangens danego kąta to po prostu odwrotność tangensa. Więc możesz zapisać:
Tangens tego kąta jest ujemny. Kąt nachylenia prostej do osi OX będzie należał do przedziału
Przypomnij sobie zależność wiążącą ze sobą tangensa i cosinusa danego kąta. Tangens wyraża się jako iloraz sinusa i cosinusa danego kąta. Więc możesz zapisać:
Ale ty znasz wartość tangensa.
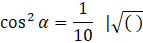
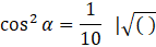
Teraz przypomnij sobie zależność między sinusem a cosinusem danego kąta. Jest to jedynka trygonometryczna.
Podstaw za sinusa wyrażenie, które otrzymałeś szybciej:
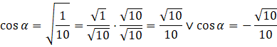
Pamiętaj, że pierwiastkując obustronnie musisz rozważyć dwa wyniki.
Otrzymując pierwiastek w mianowniku powinieneś usunąć niewymierność z mianownika przez przemnożenie licznika i mianownika przez ten pierwiastek. Oczywiście w drugim rozwiązaniu dostajesz ten sam pierwiastek tylko, że z minusem, więc nie ma sensu powtarzać operacji z dodatniego rozwiązania. Jak to było szybciej wspominane cosinus tego kąta ma mieć wartość ujemną. Więc odrzucasz rozwiązanie dodatnie.
Korzystając z wcześniej otrzymanej zależności między sinusem a cosinusem tego kąta otrzymasz:
Podsumowując:
Zadanie 16.
89Zadanie 17.
90Zadanie 18.
90Zadanie 25.
98Zadanie 27.
98Zadanie 16.
103Zadanie 17.
103Zadanie 19.
103Zadanie 14.
111Zadanie 13.
114Zadanie 14.
114Zadanie 21.
131Zadanie 23.
137Zadanie 28.
138Zadanie 20.
142Zadanie 23.
148